24小时客户服务热线:15250417671
Phone: 15250417671
Email: wangqian@zhouchengsh.com
用户中心
首 页
关于上银
公司简介
上银产品
上银直线导轨
上银滚珠丝杠
单轴机器人
大银产品
直线电机
上银动态
新闻动态
联系上银
首 页
关于上银
公司简介
上银产品
上银直线导轨
上银滚珠丝杠
单轴机器人
大银产品
直线电机
上银动态
新闻动态
联系上银
About HIWIN
首页
上银动态>
新闻动态>
新闻动态
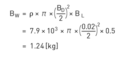
单轴机器人:电子选型例子-以滚珠导丝杠机构,滚珠螺杆重量
2026-03-18
滚珠螺杆重量
上一篇:
单轴机器人:编码器端连接器-13bit省配线型增量式/1000W
下一篇:
没有了
最新文章
单轴机器人:电子选型例子-以滚珠导丝杠机构,滚珠螺杆重量
0
2026-03-18
单轴机器人:电子选型例子-以滚珠导丝杠机构,滚珠螺杆重量
单轴机器人:编码器端连接器-13bit省配线型增量式/1000W
0
2026-03-18
单轴机器人:编码器端连接器-13bit省配线型增量式/1000W
热门产品
KC 系列 单轴机器人
KS 系列 单轴机器人
KA 系列 单轴机器人